Non-linear least squares regression with the Levenberg-Marquardt algorithm using multiple starting values for increasing the chance that the minimum found is the global minimum.
Robust and reproducible non-linear regression in R
Daniel Padfield: [email protected]
Granville Matheson: [email protected]
Please report any issues/suggestions for improvement in the issues link for the repository. Or please email [email protected] or [email protected].
This package is licensed under GPL-3.
nls.multstart is an R package that allows more robust and reproducible non-linear regression compared to nls() or nlsLM(). These functions allow only a single starting value, meaning that it can be hard to get the best estimated model. This is especially true if the same model is fitted over the levels of a factor, which may have the same shape of curve, but be much different in terms of parameter estimates.
nls_multstart() is the main (currently only) function of nls.multstart. Similar to the R package nls2, it allows multiple starting values for each parameter and then iterates through multiple starting values, attempting a fit with each set of start parameters. The best model is then picked on AIC score. This results in a more reproducible and reliable method of fitting non-linear least squares regression in R.
This package is designed to work with the tidyverse, harnessing the functions within broom, tidyr, dplyr and purrr to extract estimates and plot things easily with ggplot2. A slightly less tidy-friendly implementation is nlsLoop.
R packages in GitHub can be installed using devtools.
# install packagedevtools::install_github("padpadpadpad/nls.multstart")
nls_multstart() can be used to do non-linear regression on a single curve.
# load in nlsLoop and other packageslibrary(nls.multstart)library(ggplot2)library(broom)library(purrr)library(dplyr)library(tidyr)library(nlstools)# load in example data setdata("Chlorella_TRC")# define the Sharpe-Schoolfield equationschoolfield_high <- function(lnc, E, Eh, Th, temp, Tc) {Tc <- 273.15 + Tck <- 8.62e-5boltzmann.term <- lnc + log(exp(E/k*(1/Tc - 1/temp)))inactivation.term <- log(1/(1 + exp(Eh/k*(1/Th - 1/temp))))return(boltzmann.term + inactivation.term)}
# subset datasetd_1 <- subset(Chlorella_TRC, curve_id == 1)# run nls_multstart with shotgun approachfit <- nls_multstart(ln.rate ~ schoolfield_high(lnc, E, Eh, Th, temp = K, Tc = 20),data = d_1,iter = 250,start_lower = c(lnc=-10, E=0.1, Eh=0.5, Th=285),start_upper = c(lnc=10, E=2, Eh=5, Th=330),supp_errors = 'Y',convergence_count = 100,na.action = na.omit,lower = c(lnc = -10, E = 0, Eh = 0, Th = 0))fit#> Nonlinear regression model#> model: ln.rate ~ schoolfield_high(lnc, E, Eh, Th, temp = K, Tc = 20)#> data: data#> lnc E Eh Th#> -1.3462 0.9877 4.3326 312.1887#> residual sum-of-squares: 7.257#>#> Number of iterations to convergence: 15#> Achieved convergence tolerance: 1.49e-08
This method uses a random-search/shotgun approach to fit multiple curves. Random start parameter values are picked from a uniform distribution between start_lower() and start_upper() for each parameter. If the best model is not improved upon (in terms of AIC score) for 100 new start parameter combinations, the function will return that model fit. This is controlled by convergence_count, if this is set to FALSE, nls_multstart() will try and fit all iterations.
Another method of model fitting available in nls_multstart() is a gridstart approach. This method creates a combination of start parameters, equally spaced across each of the starting parameter bounds. This can be specified with a vector of the same length as the number of parameters, c(5, 5, 5) for 3 estimated parameters will yield 125 iterations.
# run nls_multstart with gridstart approachfit <- nls_multstart(ln.rate ~ schoolfield_high(lnc, E, Eh, Th, temp = K, Tc = 20),data = d_1,iter = c(5, 5, 5, 5),start_lower = c(lnc=-10, E=0.1, Eh=0.5, Th=285),start_upper = c(lnc=10, E=2, Eh=5, Th=330),supp_errors = 'Y',na.action = na.omit,lower = c(lnc = -10, E = 0, Eh = 0, Th = 0))#> Warning in nls_multstart(ln.rate ~ schoolfield_high(lnc, E, Eh, Th, temp#> = K, : A gridstart approach cannot be applied with convergence_count.#> Convergence count will be set to FALSEfit#> Nonlinear regression model#> model: ln.rate ~ schoolfield_high(lnc, E, Eh, Th, temp = K, Tc = 20)#> data: data#> lnc E Eh Th#> -1.3462 0.9877 4.3326 312.1887#> residual sum-of-squares: 7.257#>#> Number of iterations to convergence: 16#> Achieved convergence tolerance: 1.49e-08
Reassuringly both methods give identical model fits!
This fit can then be tidied up in various ways using the R package broom. Each different function in broom returns a different set of information. tidy() returns the estimated parameters, augment() returns the predictions and glance() returns information about the model such as AIC score. Confidence intervals of non-linear regression can also be estimated using nlstools::confint2()
# get infoinfo <- glance(fit)info#> sigma isConv finTol logLik AIC BIC deviance#> 1 0.9524198 TRUE 1.490116e-08 -14.00948 38.01896 40.44349 7.256827#> df.residual#> 1 8# get paramsparams <- tidy(fit)# get confidence intervals using nlstoolsCI <- confint2(fit) %>%data.frame() %>%rename(., conf.low = X2.5.., conf.high = X97.5..)# bind params and confidence intervalsparams <- bind_cols(params, CI)select(params, -c(statistic, p.value))#> term estimate std.error conf.low conf.high#> 1 lnc -1.3462105 0.4656398 -2.41997788 -0.2724432#> 2 E 0.9877307 0.4521481 -0.05492466 2.0303860#> 3 Eh 4.3326453 1.4877826 0.90181233 7.7634782#> 4 Th 312.1887459 3.8781636 303.24568463 321.1318072# get predictionspreds <- augment(fit)preds#> ln.rate K X.weights. .fitted .resid#> 1 -2.06257833 289.15 1 -1.88694035 -0.17563798#> 2 -1.32437939 292.15 1 -1.48002016 0.15564077#> 3 -0.95416807 295.15 1 -1.08143501 0.12726694#> 4 -0.79443675 298.15 1 -0.69121465 -0.10322210#> 5 -0.18203642 301.15 1 -0.31058072 0.12854430#> 6 0.17424007 304.15 1 0.05336433 0.12087574#> 7 -0.04462754 307.15 1 0.36657463 -0.41120217#> 8 0.48050690 310.15 1 0.49837149 -0.01786459#> 9 0.38794188 313.15 1 0.17973801 0.20820388#> 10 0.39365516 316.15 1 -0.64473313 1.03838829#> 11 -3.86319577 319.15 1 -1.70300699 -2.16018878#> 12 -1.72352435 322.15 1 -2.81272005 1.08919570
The predictions can then easily be plotted alongside the actual data.
ggplot() +geom_point(aes(K, ln.rate), d_1) +geom_line(aes(K, .fitted), preds)

nls_multstart() is unlikely to speed you up very much if only one curve is fitted. However, if you have 10, 60 or 100s of curves to fit, it makes sense that at least some of them may not fit with the same starting parameters, no matter how many iterations it is run for.
This is where nls_multstart() can help. Multiple models can be fitted using purrr, dplyr and tidyr. These fits can then be tidied using broom, an approach Hadley Wickham has previously written about.
# fit over each set of groupingsfits <- Chlorella_TRC %>%group_by(., flux, growth.temp, process, curve_id) %>%nest() %>%mutate(fit = purrr::map(data, ~ nls_multstart(ln.rate ~ schoolfield_high(lnc, E, Eh, Th, temp = K, Tc = 20),data = .x,iter = 1000,start_lower = c(lnc=-1000, E=0.1, Eh=0.5, Th=285),start_upper = c(lnc=1000, E=2, Eh=10, Th=330),supp_errors = 'Y',na.action = na.omit,lower = c(lnc = -10, E = 0, Eh = 0, Th = 0))))
A single fit can check to make sure it looks ok. Looking at fits demonstrates that there is now a fit list column containing each of the non-linear fits for each combination of our grouping variables.
# look at output objectselect(fits, curve_id, data, fit)#> # A tibble: 60 x 3#> curve_id data fit#> <dbl> <list> <list>#> 1 1.00 <tibble [12 × 3]> <S3: nls>#> 2 2.00 <tibble [12 × 3]> <S3: nls>#> 3 3.00 <tibble [12 × 3]> <S3: nls>#> 4 4.00 <tibble [9 × 3]> <S3: nls>#> 5 5.00 <tibble [12 × 3]> <S3: nls>#> 6 6.00 <tibble [12 × 3]> <S3: nls>#> 7 7.00 <tibble [12 × 3]> <S3: nls>#> 8 8.00 <tibble [10 × 3]> <S3: nls>#> 9 9.00 <tibble [8 × 3]> <S3: nls>#> 10 10.0 <tibble [10 × 3]> <S3: nls>#> # ... with 50 more rows# look at a single fitsummary(fits$fit[[1]])#>#> Formula: ln.rate ~ schoolfield_high(lnc, E, Eh, Th, temp = K, Tc = 20)#>#> Parameters:#> Estimate Std. Error t value Pr(>|t|)#> lnc -1.3462 0.4656 -2.891 0.0202 *#> E 0.9877 0.4521 2.185 0.0604 .#> Eh 4.3326 1.4878 2.912 0.0195 *#> Th 312.1887 3.8782 80.499 6.32e-13 ***#> ---#> Signif. codes: 0 '***' 0.001 '**' 0.01 '*' 0.05 '.' 0.1 ' ' 1#>#> Residual standard error: 0.9524 on 8 degrees of freedom#>#> Number of iterations to convergence: 12#> Achieved convergence tolerance: 1.49e-08
These fits can be cleaned up in a similar way to the single fit, but this time purrr::map() iterates the broom function over the grouping variables.
# get summaryinfo <- fits %>%unnest(fit %>% map(glance))# get paramsparams <- fits %>%unnest(fit %>% map(tidy))# get confidence intervalsCI <- fits %>%unnest(fit %>% map(~ confint2(.x) %>%data.frame() %>%rename(., conf.low = X2.5.., conf.high = X97.5..))) %>%group_by(., curve_id) %>%mutate(., term = c('lnc', 'E', 'Eh', 'Th')) %>%ungroup()# merge parameters and CI estimatesparams <- merge(params, CI, by = intersect(names(params), names(CI)))# get predictionspreds <- fits %>%unnest(fit %>% map(augment))
Looking at info allows us to see if all the models converged.
select(info, curve_id, logLik, AIC, BIC, deviance, df.residual)#> # A tibble: 60 x 6#> curve_id logLik AIC BIC deviance df.residual#> <dbl> <dbl> <dbl> <dbl> <dbl> <int>#> 1 1.00 -14.0 38.0 40.4 7.26 8#> 2 2.00 - 1.20 12.4 14.8 0.858 8#> 3 3.00 - 7.39 24.8 27.2 2.41 8#> 4 4.00 - 0.523 11.0 12.0 0.592 5#> 5 5.00 -10.8 31.7 34.1 4.29 8#> 6 6.00 - 8.52 27.0 29.5 2.91 8#> 7 7.00 - 1.29 12.6 15.0 0.871 8#> 8 8.00 -13.4 36.7 38.2 8.48 6#> 9 9.00 1.82 6.36 6.76 0.297 4#> 10 10.0 - 1.27 12.5 14.1 0.755 6#> # ... with 50 more rows
When plotting non-linear fits, it often looks better to have a smooth curve, even if there are not many points underlying the fit. This can be achieved by including newdata in the augment() function and creating a higher resolution set of predictor values.
However, when predicting for many different fits, it is not certain that each curve has the same range of predictor variables. Consequently, we need to filter each new prediction by the min() and max() of the predictor variables.
# new data frame of predictionsnew_preds <- Chlorella_TRC %>%do(., data.frame(K = seq(min(.$K), max(.$K), length.out = 150), stringsAsFactors = FALSE))# max and min for each curvemax_min <- group_by(Chlorella_TRC, curve_id) %>%summarise(., min_K = min(K), max_K = max(K)) %>%ungroup()# create new predictionspreds2 <- fits %>%unnest(fit %>% map(augment, newdata = new_preds)) %>%merge(., max_min, by = 'curve_id') %>%group_by(., curve_id) %>%filter(., K > unique(min_K) & K < unique(max_K)) %>%rename(., ln.rate = .fitted) %>%ungroup()
These can then be plotted using ggplot2.
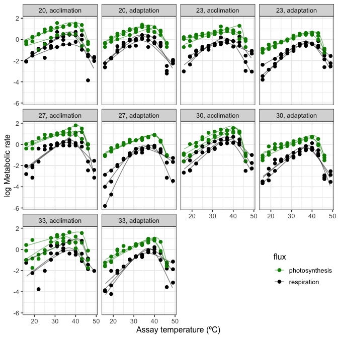
# plotggplot() +geom_point(aes(K - 273.15, ln.rate, col = flux), size = 2, Chlorella_TRC) +geom_line(aes(K - 273.15, ln.rate, col = flux, group = curve_id), alpha = 0.5, preds2) +facet_wrap(~ growth.temp + process, labeller = labeller(.multi_line = FALSE)) +scale_colour_manual(values = c('green4', 'black')) +theme_bw(base_size = 12) +ylab('log Metabolic rate') +xlab('Assay temperature (ºC)') +theme(legend.position = c(0.9, 0.15))

The confidence intervals of each parameter for each curve fit can also be easily visualised.
# plotggplot(params, aes(col = flux)) +geom_point(aes(curve_id, estimate)) +facet_wrap(~ term, scale = 'free_x', ncol = 4) +geom_linerange(aes(curve_id, ymin = conf.low, ymax = conf.high)) +coord_flip() +scale_color_manual(values = c('green4', 'black')) +theme_bw(base_size = 12) +theme(legend.position = 'top') +xlab('curve') +ylab('parameter estimate')
